Menu

IIT Certification Programs

Workshops

Projects

Blogs

Careers

Student Reviews



More

Academic Training

Informative Articles

Find Jobs

We are Hiring!


All Courses

Choose a category

Loading...

All Courses

All Courses

logo

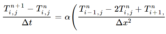
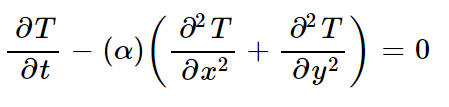
Week 5 - Mid term project - Solving the steady and unsteady 2D heat conduction problem

Objective : The challange is to solve 2D Heat Conduction equation,          where alpha is the thermal diffusivity About equation : In physics and mathematics the heat equation is a partial differential equation that describes how the distribution of some quantity (such as heat) evolves…

    Project Details

    Loading...

    Leave a comment

    Thanks for choosing to leave a comment. Please keep in mind that all the comments are moderated as per our comment policy, and your email will not be published for privacy reasons. Please leave a personal & meaningful conversation.

    Please  login to add a comment

    Other comments...

    No comments yet!
    Be the first to add a comment

    Read more Projects by Sai krishna chary Vangala (30)

    Solving Steady State 2D Heat Conduction Equation using C++ OOP

    Objective:

    Objective : The challenge is to solve the 2D Steady Heat Conduction equation using C++,                where alpha is the thermal diffusivity About equation : In physics and mathematics, the heat equation is a partial differential equation that describes how the distribution of some…

    calendar

    18 Sep 2022 12:28 PM IST

      Read more

      Classes and Objects

      Objective:

         1)   Operator overloading to perform sum of two complex numbers :   #include using namespace std; class complex // class definition { int i; int j; public: //member functions complex() //default constructor initialzed values with ' 0 ' as not to have garbage values { i = 0 ; j = 0 ; } complex(int…

      calendar

      25 Jul 2022 04:42 PM IST

        Read more

        Git and GitHub basics and Initialize a git repository of cavity and then pushing this repository to GitHub

        Objective:

        Introduction : When you write a code and want to share with many people and even world wide then you can't share it through mail for everyone .If they reviewed and asked to change something and if you change it and again you need to send them .If this process takes many a times they it is difficult to connect with…

        calendar

        22 Jul 2022 06:55 PM IST

          Read more

          Project 1 : CFD Meshing for Tesla Cyber Truck

          Objective:

          Objective : To Identifying & cleanup all the topological errors in the given Tesla Cyber Truck Car model. To create a surface mesh. To Create a wind tunnel around Tesla Cyber Truck Car . To create a volumetric mesh to perform an external flow CFD analysis simulation.   Introduction : ANSA :…

          calendar

          12 Jan 2022 12:28 PM IST

          • ANSA
          • CAE
          • CFD
          • RADIOSS
          Read more

          Week 5 Challenge : Surface wrap on Automotive Assembly

          Objective:

          Objective : For the given models ,we have to check for the geometrical errors and delete surfaces which are unwanted for surface wrap . After clearing geometry we have to merge all 3 models .   Then finally we have to perform surface wrap for the merged model. Introduction : ANSA :  ANSA is…

          calendar

          05 Jan 2022 11:24 AM IST

          Read more

          Week 4 Challenge : CFD Meshing for BMW car

          Objective:

          Objective : To Identifying & cleanup all the topological errors in the given BMW M6 Car model. To create a surface mesh. To Create a wind tunnel around BMW M6 Car . To create a volumetric mesh to perform an external flow CFD analysis simulation.    Introduction : ANSA :  ANSA is…

          calendar

          28 Dec 2021 10:26 AM IST

          Read more

          Week 3 Challenge : CFD meshing on Turbocharger

          Objective:

          INTRODUCTION : Turbocharger : A turbocharger, colloquially known as a turbo, is a turbine driven forced induction device that increases an internal combustion engine's efficiency and power output by forcing extra compressed air into the combustion chamber with the help of exhaust from an engine. ANSA :  ANSA is…

          calendar

          17 Dec 2021 12:12 PM IST

          Read more

          Week 2 Challenge : Surface meshing on a Pressure valve

          Objective:

          Objective : The objective of this project is to create a Surface meshing on a Pressure valve with element type of tria and mesh the model with three different target lengths i.e., 1mm, 3 mm and 5 mm  by using ANSA. Introduction : ANSA :  ANSA is a Computer-aided engineering tool…

          calendar

          11 Dec 2021 06:06 PM IST

          Read more

          Week 10 - Simulating Combustion of Natural Gas.

          Objective:

          Objective : In this challenge, Part I - We perform a combustion simulation on the combustor model and plot the variation of the mass fraction of the different species in the simulation using line probes at different locations of the combustor. We will plot for CO2, H2O, CH4, N2, O2, NOx emissions & Soot formation.  …

          calendar

          29 Nov 2021 09:15 AM IST

          Read more

          Week 8 - Simulating Cyclone separator with Discrete Phase Modelling

          Objective:

          Aim:- To perform analysis on cyclone separator and calculate the separation efficiency and pressure drop.   Objective:- To write a few words about four empirical models used to calculate the cyclone separator efficiency.  To perform an analysis on a given cyclone separator model by varying the particle…

          calendar

          22 Nov 2021 12:10 PM IST

          Read more

          Week 9 - Parametric study on Gate valve.

          Objective:

          Objective :      In this challenge, We will perform a parametric study on the gate valve simulation by setting the opening from 10 % to 70%.  Then we will obtain the mass flow rates at the outlet for each design point. Calculate the flow coefficient and flow factor for each opening . Then we will…

          calendar

          12 Nov 2021 12:40 PM IST

            Read more

            Week 7 - Simulating Fluid Sloshing effect inside a Gear-box

            Objective:

            Objective :   In this challenge, We will discuss what is Dynamic meshing and some other examples where dynamic meshing can be used.  And then we discuss about the fluid Sloshing effect and discuss whether the sloshing effect is good or bad. Then we discuss what is the use of UDF. Then we come to main part…

            calendar

            30 Oct 2021 09:42 AM IST

              Read more

              Week 6 - CHT Analysis on a Graphics card

              Objective:

               In this challenge, We will ,give a brief description of why and where a CHT analysis is used. We will Perform a steady-state conjugate heat transfer analysis on a model of a graphics card by using appropriate materials for the simulation. We then vary the velocity from 1 m/sec to 3 m/sec and 5 m/sec for 3 velocities…

              calendar

              06 Oct 2021 07:41 AM IST

              Read more

              Week 5 - Rayleigh Taylor Instability

              Objective:

              Objective :   In this challenge, We will discuss some practical CFD models that have been based on the mathematical analysis of Rayleigh Taylor waves and explain how these mathematical models have been adapted for CFD calculations. Perform the Rayleigh Taylor instability simulation for air and water with 2 different…

              calendar

              27 Sep 2021 10:57 AM IST

              Read more

              Week 4 - CHT Analysis on Exhaust port

              Objective:

              Objective :   In this challenge,  We will ,give a brief description of why and where a CHT analysis is used.  We wil simulate both fluid flow and also the heat transfer to the solid i.e., CHT Analysis on an Exhaust port Then we will calculate the wall heat transfer coefficient on the internal solid…

              calendar

              24 Sep 2021 08:22 AM IST

                Read more

                Week 3 - External flow simulation over an Ahmed body.

                Objective:

                Objective :   In this challenge,  We will ,Describe Ahmed's body and its importance. Explain the reason for the negative pressure in the wake region and show the vector plot clearly showing the wake region.  Explain the significance of the point of separation.  We will simulate the velocity and pressure…

                calendar

                22 Sep 2021 12:06 PM IST

                Read more

                Week 2 - Flow over a Cylinder.

                Objective:

                Objective :   In this challenge we simulate the flow over a cylinder and explain the phenomenon of Karman vortex street, We will simulate the flow over cylinder with the steady and unsteady case. In both approaches, we show that the flow has converged and calculate the Strouhal Number for Re= 100.  Plots of the…

                calendar

                08 Sep 2021 05:39 PM IST

                Read more

                Week 1- Mixing Tee

                Objective:

                Objective :In this challenge ,we will simulate a mixing tee by setting up steady-state simulation to compare the mixing effectiveness when hot inlet temperature is 36°C & the Cold inlet is at 19°C .We will perform the simulation for different cases i.e, for short and long mixing tee with different momentun ratios.We will…

                calendar

                17 Aug 2021 06:16 PM IST

                Read more

                Week 12 - Validation studies of Symmetry BC vs Wedge BC in OpenFOAM vs Analytical H.P equation

                Objective:

                Objective :  In this challenge ,we will simulate an axi-symmetric flow through a cylinderical pipe by applying both wedge and Symmetry Boundary Condition .We will do the simulation with different angles i.e., 10,25 and 45 degrees .Simulating flow through a pipe will be computationally costly ,so as the flow through…

                calendar

                13 Jun 2021 07:34 AM IST

                Read more

                Week 3.5 - Deriving 4th order approximation of a 2nd order derivative using Taylor Table method

                Objective:

                Objective :To derive the  4th order approximations scheme of the second order derivative for 1. Central difference 2. Skewed right sided difference 3. Skewed left sided difference and also compare these errors with forward and backward difference of first order derivative and  second order approximation . Deriving…

                calendar

                09 Jun 2021 03:58 AM IST

                  Read more

                  Week 9 - FVM Literature Review

                  Objective:

                  Finite Volume Method (FVM):  The finite volume method is based on the approximate solution of the integral form of the conservation equations. The problem domain is divided into set of non-overlapping control volumes called finite volumes. The conservation equations are applied to each finite volume. Integrals occurring…

                  calendar

                  08 Jun 2021 04:46 PM IST

                  Read more

                  Week 11 - Simulation of Flow through a pipe in OpenFoam

                  Objective:

                  Objective :  In this challenge, we will simulate an axi-symmetric flow through a cylinderical pipe.Simulating flow through a pipe will be computationally costly ,so as the flow through a pipe is axi-symmetric in nature we will split the domain and simulate only for the sector of the domain considering  a wedge…

                  calendar

                  06 Jun 2021 10:09 AM IST

                  Read more

                  Linear Convection for varying number of nodes and Linear Convection for varying timesteps

                  Objective:

                  Aim: Our objective is to solve the PDE 1-dimensional linear convection equation through MatLab code and compare the effect grid size on the solution. (∂u)/(∂t)+c(∂u)/(∂x)=0 Step 1: Inputting the constant values provided in the problem 'L' domain length = 1 meter t = 0.4 sec c=1 dt=0.01 and…

                  calendar

                  05 Jun 2021 02:22 PM IST

                    Read more

                    Simulating a 2nd order ODE system of a simple pendulum

                    Objective:

                    Objective : Our objective here is to write a program that solves the following ODE. This ODE represents the equation of motion of a simple pendulum with damping. Theory :A simple pendulum consists of a mass m hanging from a string of length l and fixed at a pivot point and damping coefficient b,when…

                    calendar

                    05 Jun 2021 02:11 PM IST

                    Read more

                    Week 8 - Simulation of a backward facing step in OpenFOAM

                    Objective:

                    Objective : To simulate an incompressible-laminar-viscous flow through the backward facing step geometry and we should perform a transient simulation.  And we have to perform  Case 1 - Simulate the flow without using any grading factor (i.e., GF = 1) Case 2 - Simulate the flow with grading factor of…

                    calendar

                    16 May 2021 06:09 AM IST

                    Read more

                    Week 7 - Simulation of a 1D Super-sonic nozzle flow simulation using Macormack Method

                    Objective:

                    Objective:  1)Solving Quasi 1D Nozzle Flows through Conservative and Non-Conservative Methods. 2)Finding values of flow field variables across nozzle after attaining steady state for both the forms. 3)To capture the timewise varation of  flow field variables at the nozzle throat. 4)Distributions of the nondimensional…

                    calendar

                    02 Aug 2020 09:02 PM IST

                      Read more

                      Week 5 - Mid term project - Solving the steady and unsteady 2D heat conduction problem

                      Objective:

                      Objective : The challange is to solve 2D Heat Conduction equation,          where alpha is the thermal diffusivity About equation : In physics and mathematics the heat equation is a partial differential equation that describes how the distribution of some quantity (such as heat) evolves…

                      calendar

                      18 Jun 2020 08:01 AM IST

                        Read more

                        Effect of time step on the numerical solution for a linear convection equation

                        Objective:

                        Aim: Our objective is to solve the PDE through MatLab code and compare the effect of time step on the solution and compare the simulation time taken for different time steps. Step 1:Here we are creating a function which gives postion of node on whole length and final velocity value at that node as output by taking dt as…

                        calendar

                        07 Mar 2020 01:39 AM IST

                          Read more

                          VOLUMETRIC MESHING OF THE TURBOCHARGER

                          Objective:

                          INTRODUCTION : Turbocharger :A turbocharger, colloquially known as a turbo, is a turbine driven forced induction device that increases an internal combustion engine\'s efficiency and power output by forcing extra compressed air into the combustion chamber. ANSA :                ANSA…

                          calendar

                          24 Nov 2019 10:05 AM IST

                          Read more

                          MESHING A CYLINDER USING ANSA

                          Objective:

                          INTRODUCTION : ANSA is a computer aided engineering tool for Finite Element Analysis and CFD analysis widely used in the automotive industry. It is developed by BETA CAE Systems.                             ANSA maintains the association between CAD…

                          calendar

                          10 Nov 2019 09:08 AM IST

                          Read more
                          Showing 1 of 30 projects